同学们好!这一期,将详细讲解等级赋分的具体算法,内容很关键,注意听讲哦!(点击查看视频)
按照《河南省普通高中学业水平选择性考试科目等级赋分办法》,思想政治、地理、化学、生物学这4门再选科目每门等级分数的满分值为100分、起点分值为30分。转换时,先将每门再选科目考生的原始成绩从高到低划分为A、B、C、D、E共5个等级,各等级人数所占比例分别约为15%、35%、35%、13%和2%。再把A至E等级内的考生原始成绩,按照“等比例转换办法”,转换到100——86,85——71,70——56,55——41和40——30五个分数区间,最后会根据转换公式计算,得到大家的等级分数。
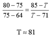
是不是还有些同学不太明白,没关系,我们举个例子。2025年,我省考生的化学科目原始成绩B等级分布区间为80——64,考生小明原始成绩为75分,其原始成绩就应该划分到B等级,对应的等级分数区间就是85——71。小明的具体等级分数应该怎么计算呢?那就要靠这个超给力的公式啦——

其中,Y表示原始成绩,即75分;Y1、Y2分别表示原始成绩区间的下限和上限,即64分、80分;T1、T2分别表示等级分数区间的下限和上限,即71分、85分;T就是转换后小明的等级分数。重点来啦!具体计算过程是这样的,同学们一定要睁大眼睛看清楚——

通过计算,小明化学科目的等级分数为81分。
经过讲解,相信大家都成功解锁等级分数的计算方法啦!无论怎么变化,实力永远是最大的底气,祝同学们实力拉满,梦想成真!
本网站的信息及数据主要来源于网络及各院校网站,本站提供此信息之目的在于为高考生提供更多信息作为参考,由于各方面情况的不断调整与变化,敬请以权威部门公布的正式信息为准。